Horus: Revolucionarni fazni meteo-radar
Zamislite da pokušavate fotografirati pokretni objekt fotoaparatom koristeći dugu ekspoziciju – dobit ćete mutnu sliku koja jedva naznačuje što se zapravo događa. Upravo taj problem desetljećima muči meteorologe koji pokušavaju pratiti brzo razvijajuće konvektivne oluje, posebice tornada. No novi meteorološki radar razvijen na Sveučilištu u Oklahomi mogao bi to zauvijek promijeniti.
Ograničenja postojeće mreže
Američka mreža Weather Surveillance Radar-1988 Doppler (WSR-88D), poznata i kao NEXRAD, predstavlja okosnicu operativnog meteorološkog radarskog motrenja već više od tri desetljeća. Unatoč neospornoj vrijednosti podataka koje pruža, njezin temeljni dizajn – mehanički rotirajuća antena s jednim snopom – inherentno ograničava vremensku rezoluciju. Kompletno volumno skeniranje tipično traje 4-5 minuta, što je predugo za praćenje brzih promjena u tornadu ili razvojnih faza superćelijske oluje. Slična je situacija s našim radarima u Metmonic projektu, osvježavanje slike je svakih 5 minuta, ali veći problem od toga je što kompletan sken nije dobiven trenutačno, već postupno tijekom tih 5 minuta, što znači da sama slika nije “zamrznut trenutak” već nešto poput “razmazane fotografije” zbog preduge ekspozicije.
Kako ističu Zrnić i suradnici (2007), potreba za agilnijim sustavima prepoznata je još prije dva desetljeća. Radari s faznim nizovima (engl. phased array radars, PAR) nude rješenje elektroničkim upravljanjem snopa zračenja. Pritom se zakretanje snopa zračanja postiže faznim pomakom između pojedinih elemenata antenskog niza (matrice), a bez mehaničkog pomicanja antene. No, iako je to u načelu već dugo poznata teorija, tek potpuno digitalna arhitektura oslobađa puni potencijal ove moderne tehnologije, inače već prikazane i u filmu Twisters (2024).

Što Horus čini posebnim?
Horus je potpuno digitalni S-band polarimetrijski radar s faznim nizom razvijen u Advanced Radar Research Center (ARRC) Sveučilišta u Oklahomi. Ključna razlika u odnosu na prethodne PAR sustave leži u digitalizaciji signala na razini svakog pojedinačnog antenskog elementa, za obje polarizacijske komponente (Palmer i sur., 2023).
Ova arhitektura omogućuje ono što autori nazivaju “softverski definiranim radarom” – sustav čije se karakteristike mogu fleksibilno mijenjati kroz programsku podršku, bez hardverskih modifikacija. U praksi to znači mogućnost implementacije naprednih tehnika oblikovanja snopa koje su nedostižne konvencionalnim ili djelomično digitalnim sustavima.

Napredni načini skeniranja
Članak objavljen u Bulletin of the American Meteorological Society (Schvartzman i sur., 2026) detaljno opisuje tri ključna napredna načina rada:
1. Jednodimenzionalno proširenje snopa (1D spoiling) – Odašiljački snop se elektronički širi u elevacijskom smjeru (po vertikali) dok se antena mehanički rotira u azimutu. Time se postiže brzo uzorkovanje vertikalnog profila atmosfere, s tipičnim vremenima ažuriranja volumena od 10-30 sekundi za punu rotaciju od 360°.
2. Dvodimenzionalno proširenje snopa (2D spoiling) – Snop se elektronički širi i u azimutu i u elevaciji, pokrivajući široki atmosferski sektor jednim skenom. Digitalno oblikovanje prijamnih snopova zatim omogućuje istovremeno prikupljanje podataka iz više smjerova. Ovim načinom Horus može ažurirati sektor od 60° × 30° u svega 3,52 sekunde.
3. Višestruki simultani odašiljački snopovi – Sustav generira više uskih snopova koji se istovremeno odašilju u različitim smjerovima, poboljšavajući vremensku rezoluciju uz održavanje osjetljivosti i kvalitete polarimetrijskih mjerenja.
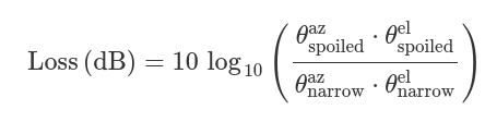
Svaki od ovih načina ima svoje prednosti i ograničenja. Proširenje snopa smanjuje pojačanje antene i time osjetljivost radarskog sustava – autori navode formulu za procjenu gubitka:

Tako, primjerice, proširenje snopa s 1° na 10° u elevaciji rezultira gubitkom od približno 10 dB u detektabilnosti radarske jeke. Stoga autori preporučuju hibridni pristup: višestruki uski snopovi na niskim elevacijskim kutovima (gdje su jaki gradijenti reflektivnosti i prizemna gustoća čestica u zraku), a prošireni snopovi na višim kutovima gdje je brzo skeniranje prioritet.
Demonstracija u praksi: Tornado kod Normana
Teoretske prednosti lako je nabrojati, no prava vrijednost sustava dokazuje se u operativnim uvjetima. Noć 27./28. travnja 2024. pružila je idealnu priliku – višestruka tornada pogodila su Oklahomu i sjeverni Teksas, uključujući EF1 tornado u blizini Normana.
Horus je, pozicioniran kod Lloyd Noble Centra Sveučilišta u Oklahomi, kontinuirano pratio razvoj situacije. Koristeći 2D proširenje snopa, radar je ostvario volumna ažuriranja svakih 3,52 sekunde – više od 15 puta brže nego klasični radar WSR-88D. Autori navode da su uzastopna skeniranja uhvatila produbljivanje i sužavanje slabo-odjekne rupe (weak-echo hole, WEH) povezane s uzlaznom strujom tornada.

Posebno je zanimljivo zapažanje da su promjene koje bi bile nevidljive s minutnim ažuriranjima postale jasno uočljive – centroid WEH-a se podizao, što ukazuje na jačanje uzlazne struje, dok je smicanje vjetra između susjednih radarskih ćelija raslo, signalizirajući intenzifikaciju vrtloga.
Polarimetrijski podaci – diferencijalna reflektivnost (Z_DR), diferencijalna faza (Φ_DP) i korelacijski koeficijent (ρ_hv) – pokazali su očekivane značajke za tornada, uključujući karakterističan “potpis” letećih krhotina (tornado debris signature, TDS).
Usporedba s referentnim sustavom
Za validaciju kvalitete podataka, Horus je tijekom ranijeg eksperimenta (8. kolovoza 2023.) usporedno djelovao s RaXPol-om (rapid-scan X-band polarimetric Doppler radar), dobro etabliranim istraživačkim radarom. Unatoč razlikama u frekvenciji (S-band vs. X-band), širini snopa i vršnoj snazi odašiljača, polarimetrijske varijable pokazale su visoku korelaciju. Pearsonov koeficijent korelacije iznosio je više od 0,9 za reflektivnost, radijalnu brzinu i diferencijalnu fazu, dok je Z_DR pokazao nešto nižu korelaciju (~0,8), što je konzistentno s poznatom većom varijabilnošću ove varijable između radarskih sustava različitih karakteristika (Ryzhkov i Zrnić, 2019).
Implikacije za operativnu meteorologiju
Američka Nacionalna meteorološka služba (NWS) trenutno provodi program “Radar Next” s ciljem evaluacije tehnologija za zamjenu dotrajalih WSR-88D radara (Gallagher i sur., 2024; Zachman i sur., 2025). Potpuno digitalna arhitektura demonstrirana Horusom predstavlja uvjerljiv model za ovu tranziciju.
Mreža digitalnih radara s faznim nizovima mogla bi ponuditi kontinuirano, adaptivno i visoko-vremenski razlučivo motrenje, značajno poboljšavajući sposobnost praćenja tornada, tuče i drugih opasnih vremenskih pojava. Elektronički upravljani snopovi dramatično bi smanjili vrijeme ažuriranja volumena uz očuvanje kvalitete podataka.
Dodatno, fleksibilnost sustava otvara mogućnosti za multifunkcionalno djelovanje – ista radarska mreža mogla bi istovremeno služiti meteorološkom motrenju, praćenju civilnog zračnog prometa, pa čak i detekciji svemirskih krhotina, što je sve relevantniji izazov s rastućim brojem satelita u orbiti.
Pogled u budućnost
Autori naglašavaju da demonstrirane mogućnosti predstavljaju tek početak razvoja. Budući napori usmjerit će se na adaptivno skeniranje vođeno algoritmima umjetne inteligencije – sustav bi autonomno prepoznavao razvijajuće oluje i automatski prilagođavao strategiju skeniranja, koncentrirajući resurse na područja od najvećeg interesa.
Zamislite radar koji sam prepoznaje nastajuću mezociklonu i automatski prelazi na visoko-frekventno skeniranje upravo tog područja, dok ostatak volumena nastavlja pratiti standardnim tempom. To više nije znanstvena fantastika – komponente za takav sustav već postoje, a Horus je platforma na kojoj će se one integrirati.
Za meteorološku zajednicu, a posebice za operativne prognostičare koji donose odluke o upozorenjima u realnom vremenu, ovo predstavlja izniman pomak. Brže i detaljnije informacije o evoluciji oluja mogu se izravno prevesti u ranija i preciznija upozorenja, a time i u spašene živote i imovinu.
Izvori
- Schvartzman, D., Palmer, R.D., Herndon, M., Cheong, B., Bodine, D., Kirstetter, P., Yeary, M., Yu, T.-Y., i Zrnić, D. (2026). Advanced Weather Surveillance Capabilities of the Fully Digital Horus Phased Array Radar. Bulletin of the American Meteorological Society, 107(1), E59-E78. https://doi.org/10.1175/BAMS-D-24-0296.1
- Palmer, R.D., i sur. (2023). Horus—A fully digital polarimetric phased array radar for next-generation weather observations. IEEE Transactions on Radar Systems, 1, 96-117.
- Zrnić, D., i sur. (2007). Agile-beam phased array radar for weather observations. Bulletin of the American Meteorological Society, 88, 1753-1766.
- Ryzhkov, A., i Zrnić, D. (2019). Radar Polarimetry for Weather Observation. Springer International Publishing.
- Bodine, D.J., i Griffin, C.B. (2024). Meteorological research enabled by rapid-scan radar technology. Monthly Weather Review, 152, 3-37.
Ivan Toman